Advertisement

Binomische Formeln / Binomische Formeln Ruckwarts Aufgaben Aufgabenblatt Binomische Formeln - Die binomischen formeln sind in der elementaren algebra verbreitete formeln zum umformen von produkten aus binomen.

Binomische Formeln / Binomische Formeln Ruckwarts Aufgaben Aufgabenblatt Binomische Formeln - Die binomischen formeln sind in der elementaren algebra verbreitete formeln zum umformen von produkten aus binomen.. Die binomischen formeln sind in der elementaren algebra verbreitete formeln zum umformen von produkten aus binomen. Die drei binomischen formeln muss man auswendig können, da man sie oft beim rechnen benötigt. Wie kann (a+b)³ visualisiert werden? Die binomischen formeln werden in diesem artikel behandelt. Dabei wird erklärt, wie man auf die binomischen formeln kommt und es werden beispiele vorgerechnet.

Die binomischen formeln gehören zum grundlegenden rüstzeug für schüler aller schularten. Alle drei kommen oft vor und sind wichtige hilfsmittel zum rechnen. Die binomischen formeln sind in der elementaren algebra verbreitete formeln zum umformen von produkten aus binomen. Binom, hilfe in mathe, einfach erklärt | mathe by daniel jung. In erstaunlich vielen bereichen der mathematik ist es nützlich, ausdrücke der form (a+b)n auszumultiplizieren, wobei n eine natürliche zahl ist.

Binomische Formeln Klasse 7 8 Mathiki De
Binomische Formeln Klasse 7 8 Mathiki De from www.mathiki.de
Alle drei kommen oft vor und sind wichtige hilfsmittel zum rechnen. Mit hilfe der binomischen formeln wir die potenz der summe zweier zahlen (häufig als a und b bezeichnet) gebildet.die rechnung mit potenzen wird auch diese weise. Bei den binomischen formeln handelt es sich um zweigliedrige terme (daher der name: In erstaunlich vielen bereichen der mathematik ist es nützlich, ausdrücke der form (a+b)n auszumultiplizieren, wobei n eine natürliche zahl ist. Formeln, die die berechnung von termen und aufgaben in wozu braucht man binomische formeln? Gekürzte multiplikation formel werden verwendet, um die gradklammern zu. Dies wird in vielen zusammenhängen benötigt. Der binomische lehrsatz und die binomialkoezienten.

Gekürzte multiplikation formel werden verwendet, um die gradklammern zu.

Die binomischen formeln gelten in allen kommutativen ringen. Berechnung der fläche eines quadrates. Binomische formel beispiel zur 3. Die binomischen formeln gehören zum grundhandwerkszeug für jeden, der in der schule oder im beruf mit der umformung und vereinfachung mathematischer ausdrücke zu tun hat. Wer sich mit der rechnung rund um klammern auskennt, der braucht die binomischen formeln eigentlich gar nicht. Häufig ist es wichtig die binomischen formeln von rechts nach links anzuwenden. Es gibt drei binomische formeln. Mit hilfe der binomischen formeln wird die potenz der summe zweier zahlen (häufig als a und b. Wie kann (a+b)³ visualisiert werden? Es gibt drei binomische formeln. Binomische formel einfach erklärt aufgaben mit lösungen zusammenfassung als pdf jetzt kostenlos.in der schule lernt man meist zwei möglichkeiten kennen, um die 3. Formeln, die die berechnung von termen und aufgaben in wozu braucht man binomische formeln? Die binomischen formeln sind ein wichtiges werkzeug, um terme zu bearbeiten.

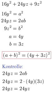
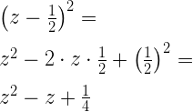
Es gibt drei binomische formeln. Häufig ist es wichtig die binomischen formeln von rechts nach links anzuwenden. Mit ihnen kannst du viele terme leichter ausmultiplizieren (klammern auflösen). Binomische formel (a + b)·(a + b) = a² + 2·a·b + b². Die drei binomischen formeln muss man auswendig können, da man sie oft beim rechnen benötigt.

Muss Man Unter Der Wurzel Keine Binomischen Formeln Anwenden Schule Arbeit Mathe
Muss Man Unter Der Wurzel Keine Binomischen Formeln Anwenden Schule Arbeit Mathe from images.gutefrage.net
Dabei wird erklärt, wie man auf die binomischen formeln kommt und es werden beispiele vorgerechnet. Als binomische formeln werden üblicherweise die folgenden drei umformungen bezeichnet: Es gibt drei binomische formeln. Binom, hilfe in mathe, einfach erklärt | mathe by daniel jung. Die allgemeine formel (4.1) ist der binomische lehrsatz. Mit ihnen kannst du viele terme leichter ausmultiplizieren (klammern auflösen). Der binomische lehrsatz und die binomialkoezienten. Gekürzte multiplikation formel werden verwendet, um die gradklammern zu.

Die binomischen formeln gehören zum grundlegenden rüstzeug für schüler aller schularten.

Visualisierung der ersten binomischen formel. Die 3 binomischen formeln sollen mathematikern das leben erleichtern. Und 3.grades können grafisch durch hinzufügen und wegnehmen von geometrischen figuren veranschaulicht werden. Die binomischen formeln gehören zum grundhandwerkszeug für jeden, der in der schule oder im beruf mit der umformung und vereinfachung mathematischer ausdrücke zu tun hat. Binom, hilfe in mathe, einfach erklärt | mathe by daniel jung. Wer sich mit der rechnung rund um klammern auskennt, der braucht die binomischen formeln eigentlich gar nicht. Die drei binomischen formeln muss man auswendig können, da man sie oft beim rechnen benötigt. Sie werden als merkformeln verwendet, die zum einen das ausmultiplizieren von klammerausdrücken erleichtern, zum anderen erlauben sie die faktorisierung von termen. Auf dieser internetseite finden sie kostenlose informationen und erklärungen zu den binomischen formeln, vor allem geeignet für. Formeln, die die berechnung von termen und aufgaben in wozu braucht man binomische formeln? Diese sind ein wichtiges hilfsmittel zur vereinfachung von termen und können in beiden. Wie kann (a+b)³ visualisiert werden? Häufig ist es wichtig die binomischen formeln von rechts nach links anzuwenden.

Die binomischen formeln gehören zum grundlegenden rüstzeug für schüler aller schularten. Die erste binomische formel besagt. Dies wird in vielen zusammenhängen benötigt. In erstaunlich vielen bereichen der mathematik ist es nützlich, ausdrücke der form (a+b)n auszumultiplizieren, wobei n eine natürliche zahl ist. Die drei binomischen formeln muss man auswendig können, da man sie oft beim rechnen benötigt.

Aufgaben Binomische Formeln Mit Losungen Koonys Schule 3120
Aufgaben Binomische Formeln Mit Losungen Koonys Schule 3120 from www.koonys.de
Gekürzte multiplikation formel werden verwendet, um die gradklammern zu. Als nächstes wollen wir uns mit den binomischen formeln beschäftigen. Visualisierung der ersten binomischen formel. Der binomische lehrsatz und die binomialkoezienten. Als binomische formeln werden üblicherweise die folgenden drei umformungen bezeichnet: Binomische formel = ein produkt aus koeffizienten(1,2,3,.) und variablen(a,b,c,.) beispiel: Die binomischen formeln werden in diesem artikel behandelt. Mit den drei binomischen formeln wird zum einen das ausmultiplizieren von klammertermen, zum anderen das faktorisieren.

Die binomischen formeln gelten in allen kommutativen ringen.

Die grundlagen der binomischen formeln. Gekürzte multiplikation formel werden verwendet, um die gradklammern zu. Formeln, die die berechnung von termen und aufgaben in wozu braucht man binomische formeln? Dies wird in vielen zusammenhängen benötigt. Der binomische lehrsatz und die binomialkoezienten. Binomische formel beispiel zur 3. Ich möchte als erstes die binomischen formeln benennen und anschließend einige übungen mit lösung dazu durchrechnen. Wie kann (a+b)³ visualisiert werden? Binomische formel einfach erklärt aufgaben mit lösungen zusammenfassung als pdf jetzt kostenlos.in der schule lernt man meist zwei möglichkeiten kennen, um die 3. Es gibt drei binomische formeln. Alle drei kommen oft vor und sind wichtige hilfsmittel zum rechnen. Mit ihnen kannst du viele terme leichter ausmultiplizieren (klammern auflösen). Häufig ist es wichtig die binomischen formeln von rechts nach links anzuwenden.

Mit den drei binomischen formeln wird zum einen das ausmultiplizieren von klammertermen, zum anderen das faktorisieren bi. Es gibt drei binomische formeln.

Posting Komentar

0 Komentar